-
近期,北京理工大学物理学院路翠翠和武汉大学肖孟教授、香港科技大学陈子亭...
-
近期,北京理工大学前沿交叉科学研究院黄渊余课题组在pH响应性聚合物胶束...
-
日前,北京理工大学设计与艺术学院助理教授孙子文以独立作者身份在城市规划...
-
日前,北理工管理与经济学院李金林教授及其博士研究生王珊珊与美国西北大学...
-
近日,北京理工大学前沿交叉院黄佳琦教授课题组在认识共溶剂调控溶剂化结构...
-
近日,材料类顶级国际期刊《Advanced Functional Ma...
-
日前,北京理工大学物理学院张向东教授课题组青年教师陈宇辉研究员同瑞典隆...
-
日前,北京理工大学物理学院张向东教授和尚江伟副研究员课题组同新加坡国立...
-
近日,北京理工大学物理学院李家方、张向东、姚裕贵教授团队,与中科院物理...
-
近期,北京理工大学物理学院姚裕贵教授课题组与罗彻斯特大学Ranga P...
-
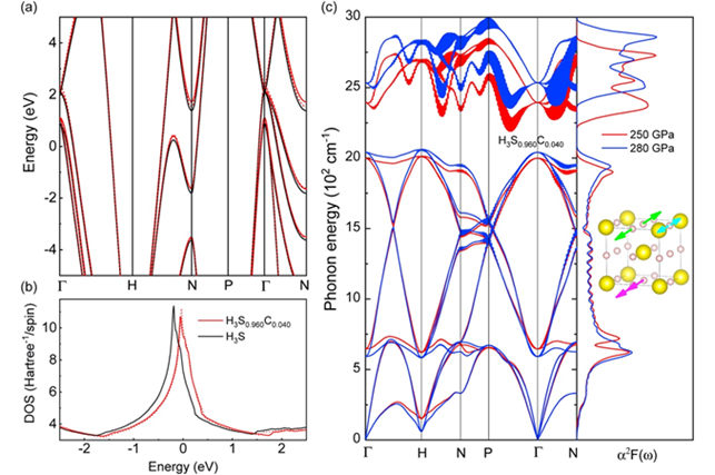
最近,北京理工大学物理学院姚裕贵教授团队和中科院强磁场科学中心的周建辉...
-
近日,国际材料领域顶级期刊《Advanced Materials》(影...
-
量子点是一类重要的半导体纳米光电材料,具有发光效率高、光谱可调、可溶液...
-
近日,北京理工大学高能材料研究团队受邀在国际顶级期刊《Accounts...
-
最近,北京理工大学物理学院李翔教授与美国得克萨斯大学奥斯汀分校周建十教...
-
北京理工大学智能机器人研究所黄强教授与王化平副教授的微纳生物操作团队在...
-
近日,北京理工大学光电学院许廷发科研团队在语义深层特征的孪生网络目标跟...
-
12月24日,中国仪器仪表学会2020年科技奖励大会暨九届三次理事(...
-
12月24日,中国仪器仪表学会2020年科技奖励大会暨九届三次理事(...
-
近期,北京理工大学黄渊余课题组在小干扰核酸(siRNA)和光动力疗法(...
-
近日,北京理工大学前沿交叉科学研究院黄佳琦课题组在材料类顶级国际期刊《...