-
2022年下半年,北理工科研团队分别在钙钛矿太阳能电池研究、环二核苷酸...
-
近日,北京理工大学前沿交叉科学研究院黄佳琦教授课题组在金属锂电池安全改...
-
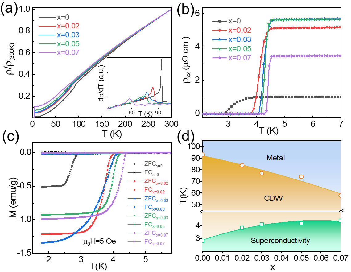
近日,北理工物理学院王秩伟特别研究员、姚裕贵教授团队在Nb掺杂笼目结构...
-
近日,北京理工大学张帅龙教授在国际生物化学类顶级期刊《Chemical...
-
离散有序组装体的构筑及性能研究是化学领域的研究热点,通过拓扑结构的精准...
-
近日,北京理工大学物理学院姚裕贵教授、段俊熙副研究员团队在转角石墨烯体...
-
北京理工大学王蔚芝课题组近日与新加坡国立大学陈小元课题组合作,开发了基...
-
北京理工大学王蔚芝课题组近期开发了一种基于点击化学的多肽功能化识别与调...
-
10月14日,北京理工大学王博教授团队在Science上发表文章“C...
-
近日,北京理工大学光电学院许廷发科研团队在远程病理成像领域取得新进展,...
-
10月21日,北京理工大学化学与化工学院赵之平教授团队在柔性MOF膜...
-
日前,北京理工大学数学与统计学院朱蓉禅教授在国际顶级学术期刊《Comm...
-
日前,北京理工大学计算机学院宋大为教授团队在大规模预训练语言模型的领域...
-
近日,北京理工大学化学与化工学院博士后刘康蕾博士与医学技术学院蒋振奇博...
-
近日,北京理工大学化学与化工学院博士后刘康蕾以第一作者身份在国际顶级期...
-
近日,北京理工大学王涌天教授团队的黄玲玲教授等人与香港大学张霜老师合作...
-
二次谐波(SHG)又称为倍频效应,是一种源于激发场下的电磁场极化高阶项...
-
近日,北京理工大学前沿交叉科学研究院&化学与化工学院杨小会教授课题组与...
-
近日,北京理工大学生命学院绿色生物制造团队在石墨相氮化碳(g-C3N4...
-
北京理工大学材料学院庞思平教授团队利用多爆炸基团协同作用策略,在稠环骨...
-
近日,北京理工大学机电学院娄文忠教授课题组在体内难触及区域靶向治疗及止...